原料药与医药中间体
[en]AkVEri® [/en]生命科学试剂
天然产物
天然产物
当前条件下1460个产品
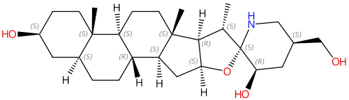
番茄皂苷 A
产品编号
APC-1461
CAS号码
532387-86-3
分子式
C58H95NO29
分子量
1270.37
Anti-inflammatory, lower cholesterol
荜茇酰胺
产品编号
APC-1462
CAS号码
20069-09-4
分子式
C17H19NO5
分子量
317.34
Anti-inflammatory, analgesic, insecticidal
芍药内酯苷
产品编号
APC-1463
CAS号码
39011-90-0
分子式
C23H28O11
分子量
480.5
Anti-inflammatory, liver protection, neuroprotection
7-酮-22,23-二氢印楝素
产品编号
APC-1465
CAS号码
170866-93-0
分子式
C35H44O16
分子量
720.72
Anti-inflammatory, immune regulation
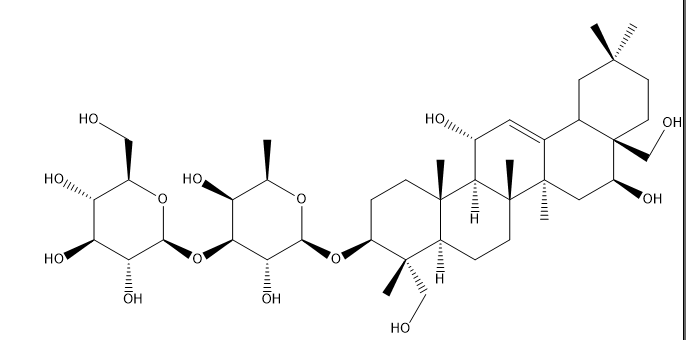
6″-O-乙酰柴胡皂苷B2
产品编号
APC-1470
CAS号码
104121-82-6
分子式
C44H70O14
分子量
823.02
Anti-inflammatory, anti-virus
花椒麻素
产品编号
APC-1473
CAS号码
504-97-2
分子式
C16H25NO
分子量
247.38
Insecticide, antibacterial, local anesthesia
燕麦蒽酰胺 A
产品编号
APC-1474
CAS号码
108605-70-5
分子式
C16H13NO5
分子量
299.28
Anti-inflammatory, immune regulation
燕麦蒽酰胺 B
产品编号
APC-1475
CAS号码
108605-69-2
分子式
C17H15NO6
分子量
329.3
Anti-inflammatory, immune regulation







