原料药与医药中间体
[en]AkVEri® [/en]生命科学试剂
天然产物
天然产物
当前条件下1460个产品
别土木香内酯
产品编号
APC-1373
CAS号码
64340-41-6
分子式
C15H20O2
分子量
232.32
Anthelmintic, anti-tumor, apoptosis inducer
5,6-二羟基-7,4'-二甲氧基黄酮
产品编号
APC-1378
CAS号码
10176-71-3
分子式
C17H14O6
分子量
314.29
Antiviral, anti-inflammatory
心脂质钠盐(牛心脏)
产品编号
APC-1379
CAS号码
383907-10-6
分子式
C81H140Na2O17P2
分子量
1493.92
Mitochondrial lipid, heart disease research
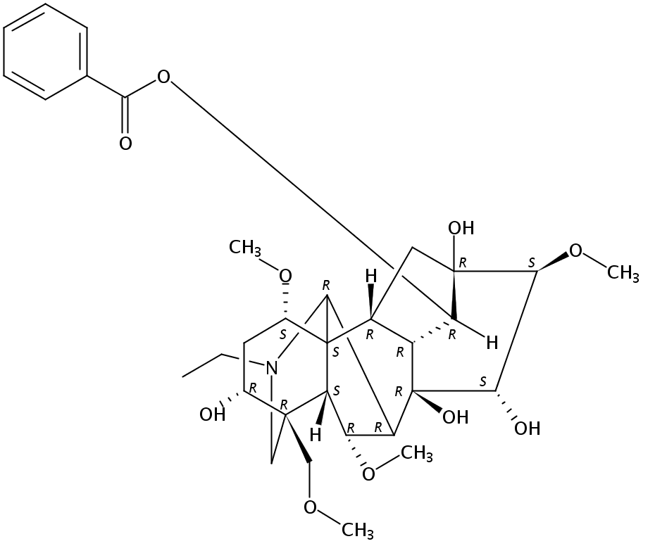
苯甲酰乌头原碱
产品编号
APC-1383
CAS号码
466-24-0
分子式
C32H45NO10
分子量
603.7
Analgesic, Anti-inflammatory, Sodium Channel Blocker
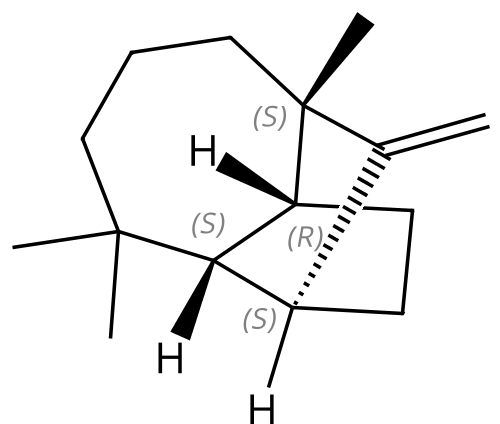
苍术酮
产品编号
APC-1385
CAS号码
6989-21-5
分子式
C15H20O
分子量
216.32
Anti-inflammatory, Anti-allergic, Gastroprotective
瑞鲍迪甙 E
产品编号
APC-1386
CAS号码
63279-14-1
分子式
C44H70O23
分子量
967.01
High-intensity Sweetener, Hypoglycemic Aid
松柏醇
产品编号
APC-1388
CAS号码
458-35-5
分子式
C10H12O3
分子量
180.2
Anti-inflammatory, Antioxidant, Antibacterial
柳皮苷
产品编号
APC-1390
CAS号码
1887055-63-1
分子式
C20H24O10
分子量
424.4
Anti-inflammatory, Analgesic, Antipyretic







