原料药与医药中间体
[en]AkVEri® [/en]生命科学试剂
天然产物
天然产物
当前条件下1460个产品
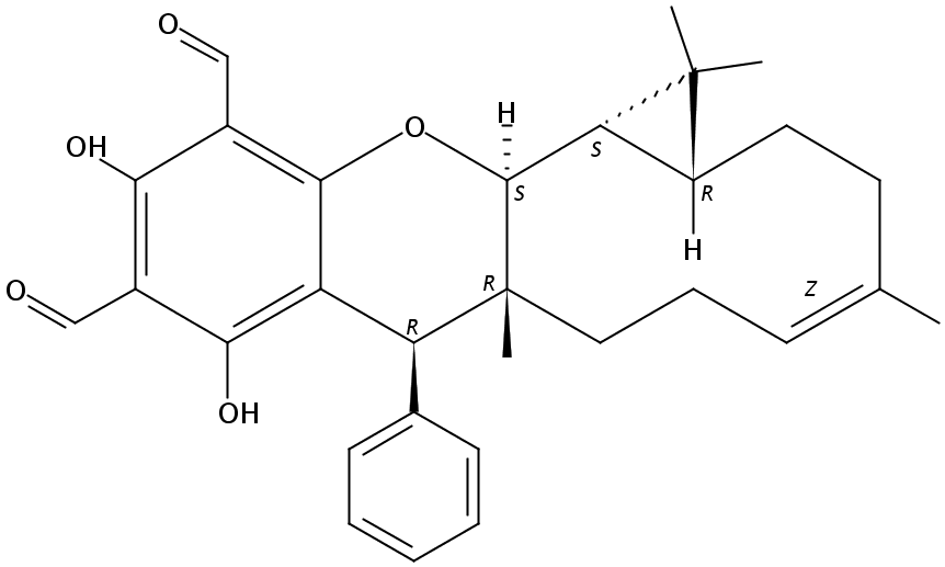
Psiguadial D
产品编号
APC-1321
CAS号码
1402066-95-8
分子式
C30H34O5
分子量
474.59
Anti-proliferative, anti-cancer
棉皮素-8-O-Β-D-葡萄糖醛酸苷
产品编号
APC-1322
CAS号码
55366-56-8
分子式
C21H18O14
分子量
494.36
Antioxidant, superoxide scavenger
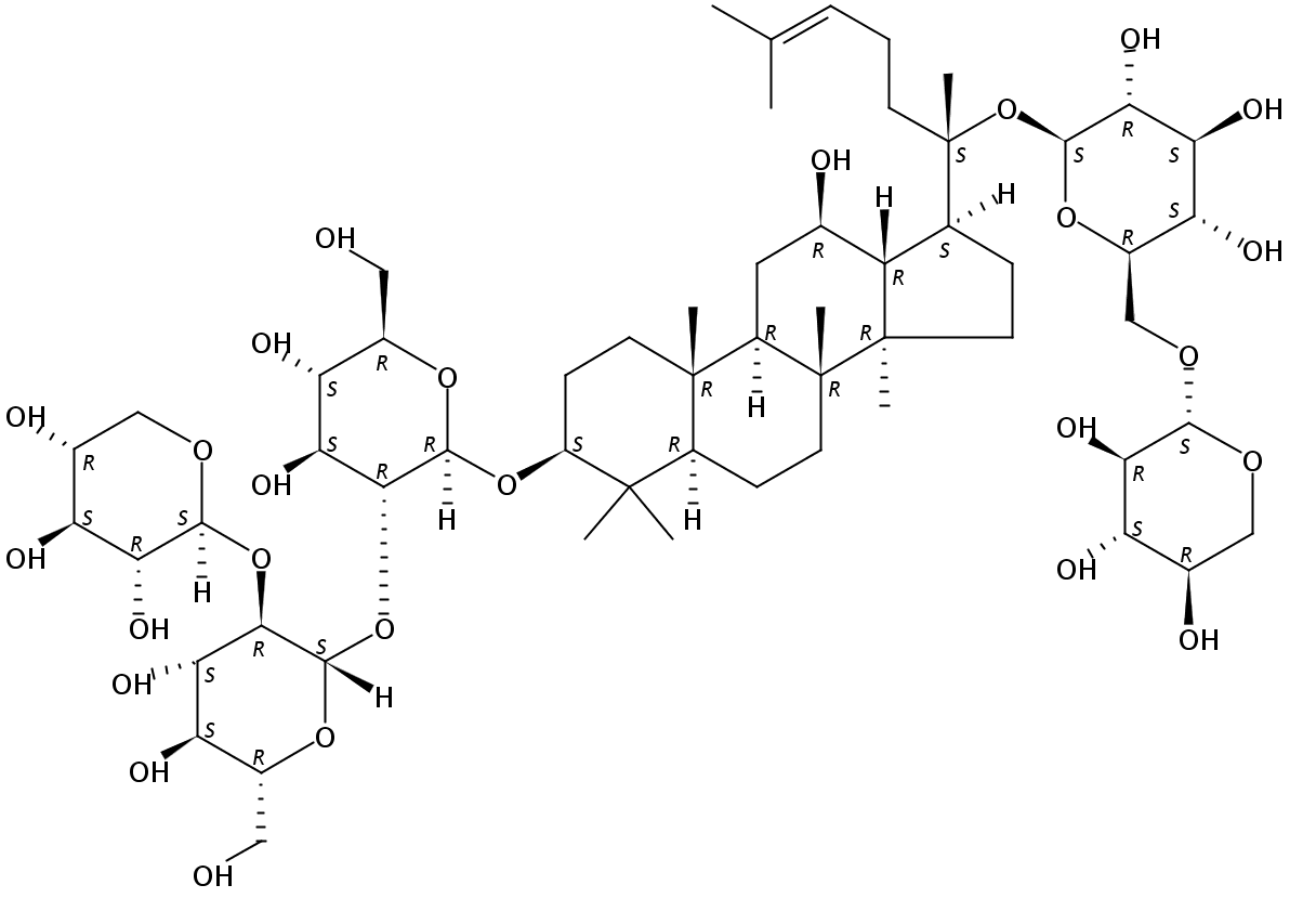
三七皂苷FC
产品编号
APC-1329
CAS号码
88122-52-5
分子式
C58H98O26
分子量
1211.38
Cardiovascular protector, antiplatelet, microcirculation
异丁酯心菊内酯
产品编号
APC-1333
CAS号码
53658-84-7
分子式
C19H24O5
分子量
332.39
Anti-inflammatory, antibacterial, anti-protozoal











