原料药与医药中间体
[en]AkVEri® [/en]生命科学试剂
天然产物
天然产物
当前条件下1460个产品
泡番荔枝辛
产品编号
APC-1283
CAS号码
123123-32-0
分子式
C37H66O7
分子量
622.92
Antitumor, mitochondrial complex I inhibitor
藏红花醛
产品编号
APC-1285
CAS号码
116-26-7
分子式
C10H14O
分子量
150.22
Antioxidant, sedative, antidepressant, anticonvulsant
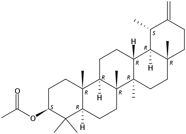
蒲公英甾醇醋酸酯
产品编号
APC-1287
CAS号码
6426-43-3
分子式
C32H52O2
分子量
468.75
Anti-inflammatory, joint pain relief, oxidative stress reduction
(R)-(+)-β-香茅醇
产品编号
APC-1289
CAS号码
1117-61-9
分子式
C10H20O
分子量
156.27
Aromatic, antimicrobial, insect repellent
(R)-香茅醛
产品编号
APC-1290
CAS号码
2385-77-5
分子式
C10H18O
分子量
154.25
Antiseptic, insect repellent, flavoring
柚皮素-7-O-葡萄糖苷
产品编号
APC-1292
CAS号码
529-55-5
分子式
C21H22O10
分子量
434.39
Antioxidant, anti-inflammatory, anti-diabetic
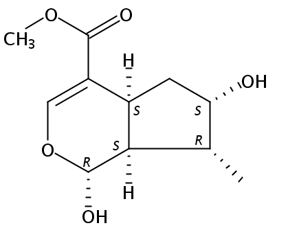
马钱苷元
产品编号
APC-1297
CAS号码
29748-10-5
分子式
C11H16O5
分子量
228.24
Neuroprotective, anti-inflammatory, anti-diabetic








