原料药与医药中间体
[en]AkVEri® [/en]生命科学试剂
天然产物
天然产物
当前条件下1460个产品
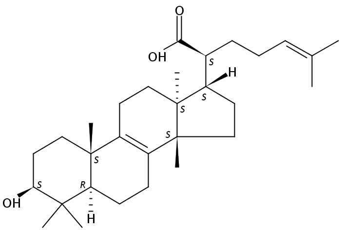
β-榄香酮酸
产品编号
APC-1147
CAS号码
28282-25-9
分子式
C30H46O3
分子量
454.68
Anti-inflammatory and induces apoptosis in cancer cells.
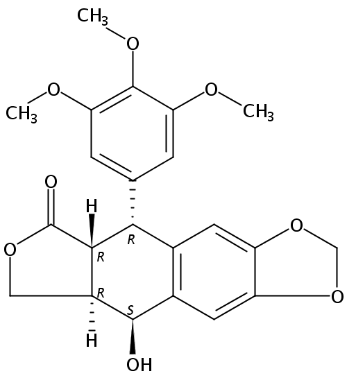
芦荟宁B
产品编号
APC-1148
CAS号码
106533-41-9
分子式
C34H38O17
分子量
718.66
Potential antioxidant and gastroprotective activities.
原莪述烯醇
产品编号
APC-1150
CAS号码
21698-40-8
分子式
C15H22O2
分子量
234.33
Anti-tumor; inhibits cancer cell proliferation.
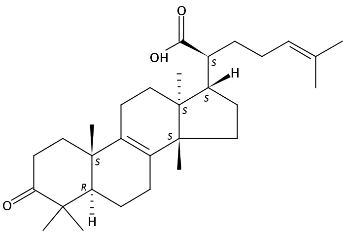
榄香酸
产品编号
APC-1153
CAS号码
28282-54-4
分子式
C30H48O3
分子量
456.7
Anti-inflammatory and potential metabolic regulator.
铁钉菜酚A(IPA)
产品编号
APC-1154
CAS号码
NA
分子式
C96H66O48
分子量
1986.26
Alpha-glucosidase inhibitor, antioxidant
大麻二酚羟基醌
产品编号
APC-1155
CAS号码
137252-25-6
分子式
C21H28O3
分子量
328.45
Extremely potent anti-tumor and anti-angiogenic agent.
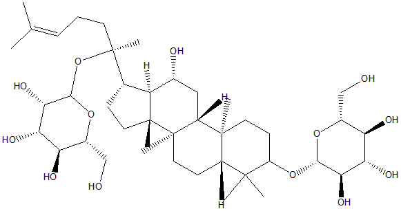
人参皂苷F2
产品编号
APC-1157
CAS号码
62025-49-4
分子式
C42H72O13
分子量
785
Induces apoptosis in cancer cells; anti-obesity and skin health.
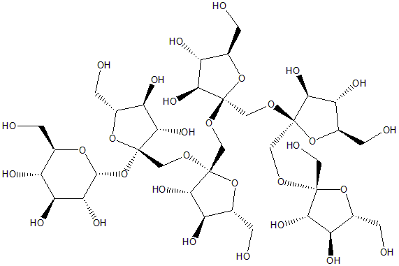
蔗果六糖
产品编号
APC-1158
CAS号码
62512-19-0
分子式
C36H62O31
分子量
990.9
Prebiotic activity; promotes healthy gut microflora.
乙氧基血根碱
产品编号
APC-1159
CAS号码
28342-31-6
分子式
C22H19NO5
分子量
377.4
Strong antibacterial and antifungal activity.






