原料药与医药中间体
[en]AkVEri® [/en]生命科学试剂
[en]AkVEri® [/en]生命科学试剂
AkVEri® 生命科学试剂
当前条件下1493个产品
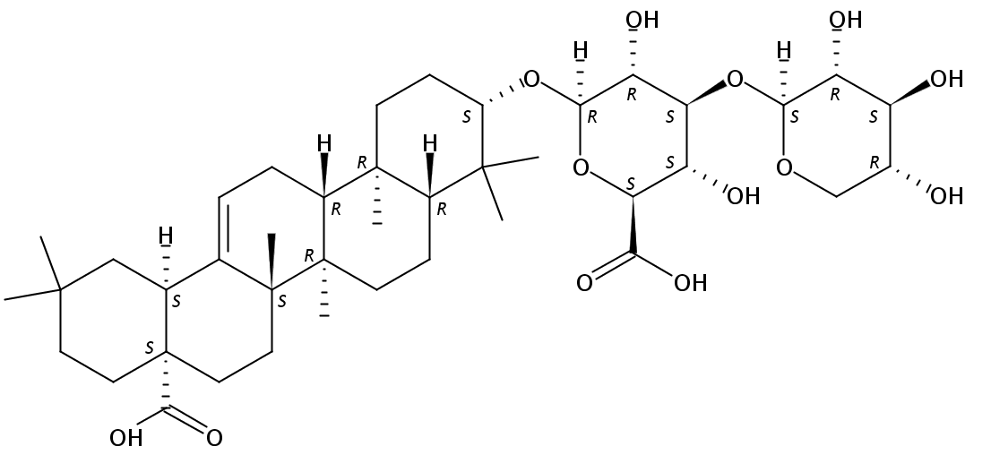
地肤子皂苷Ic
产品编号
APC-421
CAS号码
96990-18-0
分子式
C41H64O13
分子量
764.93906
anti-tumor,anti-inflammatory, antioxidant
羌活醇
产品编号
APC-422
CAS号码
88206-46-6
分子式
C21H22O5
分子量
354.39638
antipyretic, analgesic and anti-inflammatory
盐酸黄柏碱
产品编号
APC-424
CAS号码
104112-82-5
分子式
C20H24ClNO4
分子量
377.86186
anti-inflammatory, antimicrobial, hepatoprotective
大车前苷
产品编号
APC-425
CAS号码
104777-68-6
分子式
C29H36O16
分子量
640.58654
inhibits multiple cancers,neuroprotective and anti-inflammatory
白花前胡甲素
产品编号
APC-428
CAS号码
73069-25-7
分子式
C21H22O7
分子量
386.4
anti-inflammatory, antitussive, bronchodilatory
白花前胡丙素
产品编号
APC-429
CAS号码
72463-77-5
分子式
C24H28O7
分子量
428.47492
Anti-inflammatory,Anti-tumor,Antioxidant
山栀苷甲酯
产品编号
APC-433
CAS号码
64421-28-9
分子式
C17H26O11
分子量
406.38174
Anti-inflammatory,Neuroprotective,anti-nociceptive
知母皂苷BII
产品编号
APC-438
CAS号码
136656-07-0
分子式
C45H76O19
分子量
921.07354
neuronal protective, anti-inflammatory, antioxidant







