原料药与医药中间体
[en]AkVEri® [/en]生命科学试剂
[en]AKTINPHARM® [/en]制药
原料药与医药中间体
当前条件下1837个产品
D-α--生育三烯酚
产品编号
APC-1420
CAS号码
58864-81-6
分子式
C29H44O2
分子量
424.66
Neuroprotection, lowering cholesterol
D-δ-生育三烯酚
产品编号
APC-1423
CAS号码
25612-59-3
分子式
C27H40O2
分子量
396.61
Inducing cell apoptosis, anti-cancer
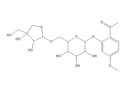
苍术苷A
产品编号
APC-1424
CAS号码
126054-77-1
分子式
C21H36O10
分子量
448.5
Anti-inflammatory, regulating the gastrointestinal tract
黄连素
产品编号
APC-1425
CAS号码
2086-83-1
分子式
C20H18NO4+
分子量
336.4
Antibacterial, anti-inflammatory, lowering blood sugar
木兰花碱
产品编号
APC-1426
CAS号码
2141-09-5
分子式
C20H24NO4+
分子量
342.4
Antibacterial, anti-inflammatory, muscle relaxation
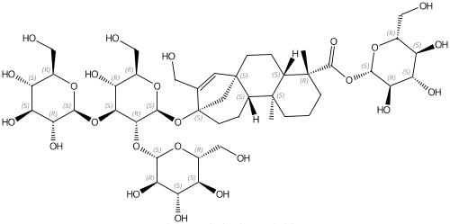
Kaur-15-en-18-oic acid, 13-[(O-β-D-glucopyranosyl (1→2)-O-[β-D-glucopyranosyl-( 1→3)]-β-D-glucopyran
产品编号
APC-1429
CAS号码
1058600-94-4
分子式
C44H70O24
分子量
983.01
Anti-inflammatory, immunomodulatory and potential anti-tumor lead compounds









