原料药与医药中间体
[en]AkVEri® [/en]生命科学试剂
[en]AKTINPHARM® [/en]制药
原料药与医药中间体
当前条件下1837个产品
N-亚硝基二甲胺-D6
产品编号
APC-1728
CAS号码
17829-05-9
分子式
C2D6N2O
分子量
80.12
Analytical internal standard (carcinogen detection)
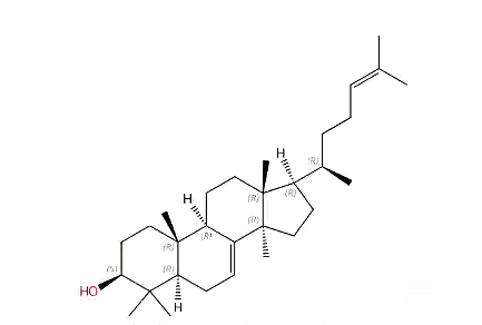
Lanosta-7,24-dien-3-ol, (3β)-
产品编号
APC-1729
CAS号码
23515-91-5
分子式
C30H50O
分子量
426.72
Anti-inflammatory, antitumor
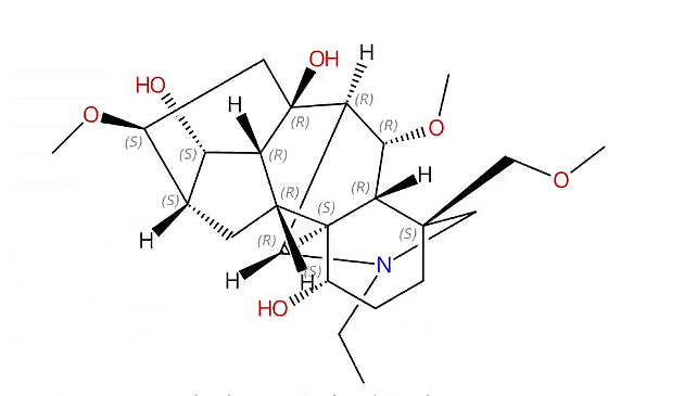
雪上一枝蒿乙素
产品编号
APC-1730
CAS号码
466-26-2
分子式
C24H39NO6
分子量
437.6
Analgesic, anti-inflammatory, highly toxic
8-(3-氯苯乙烯基)咖啡因
产品编号
APC-1733
CAS号码
147700-11-6
分子式
C16H15ClN4O2
分子量
330.77
Adenosine receptor antagonist (research)
丁香甘油 8-O-4'-芥子基醚7-葡糖苷
产品编号
APC-1734
CAS号码
415724-47-9
分子式
C28H38O14
分子量
598.54
Antioxidant, anti-inflammatory
连翘酯苷E
产品编号
APC-1735
CAS号码
93675-88-8
分子式
C20H30O12
分子量
462.4
Antiviral, antioxidant, anti-inflammatory
依托度酸二聚体
产品编号
APC-1736
CAS号码
NA
分子式
C27H32N2O3
分子量
432.55
Analytical reference material (drug degradant)





